Life can get pretty overwhelming at times, and it’s essential to take care of yourself, especially as an adult. Self-care is crucial for maintaining mental, emotional, and physical well-being. One …
Read moreMonth: June 2025
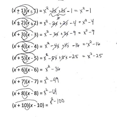
Algebra Worksheets And Answers
Are you looking for a fun and interactive way to practice algebra? Look no further! Algebra worksheets and answers are a great resource for students of all ages to sharpen …
Read moreScientific Notation Worksheet With Answers Pdf
Have you been struggling with mastering scientific notation? Fear not, as we’ve got just the resource for you! Our scientific notation worksheet with answers PDF is here to help you …
Read moreAlgebra Practice Worksheets With Answers
Are you looking for a fun way to practice algebra? Look no further! Algebra practice worksheets with answers are a great tool to help you sharpen your math skills and …
Read moreRelapse Prevention Worksheet Pdf
Are you looking for a relapse prevention worksheet PDF to help you stay on track with your recovery journey? You’re in the right place! Many individuals find worksheets to be …
Read moreAlgebra 2 1.6 Worksheet Answers
Are you struggling with algebra 2 1.6 worksheet answers? Don’t worry, you’re not alone! Many students find this topic challenging, but with a little guidance, you can master it in …
Read moreReflection Worksheet Pdf
Are you looking for a simple and effective way to track your thoughts and feelings? A reflection worksheet PDF might be just what you need. These worksheets are a great …
Read moreAlgebra 1 8.2 Worksheet Answers
Are you looking for algebra 1 8.2 worksheet answers to help you with your homework or practice problems? Look no further! We’ve got you covered with all the solutions you …
Read moreActive Voice Worksheet With Answers
Are you looking for an active voice worksheet with answers to practice your grammar skills? Look no further! This handy worksheet will help you understand and master the concept of …
Read moreReducing Fractions Worksheet Pdf
Do you find reducing fractions confusing? You’re not alone! Many students struggle with this concept, but fear not – help is here. By using a reducing fractions worksheet PDF, you …
Read more