Are you looking for a fun and interactive way to practice algebra? Look no further! Algebra worksheets in PDF format are a great resource for students of all ages and …
Read moreMonth: November 2025
Parallel Lines And Transversals Worksheet Answers
Have you ever struggled with understanding parallel lines and transversals in math? You’re not alone! Many students find this concept challenging, but with the right resources, you can master it …
Read moreAlgebra Pdf Worksheets With Answers
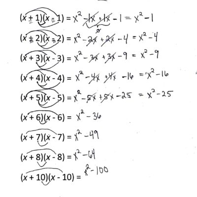
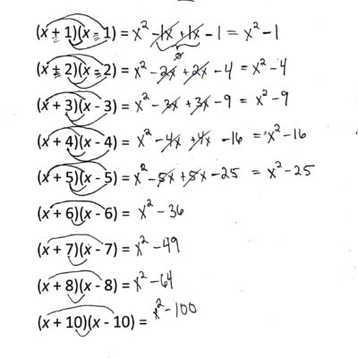
Are you looking for algebra PDF worksheets with answers to help you practice and improve your math skills? Look no further! We’ve got you covered with a wide range of …
Read morePrintable Cursive Handwriting Practice Worksheets
Are you looking for a fun way to improve your cursive handwriting skills? Look no further! Printable cursive handwriting practice worksheets are a great tool to help you perfect your …
Read moreAdjectives Worksheet Pdf
Are you looking for a fun and engaging way to teach adjectives to your students? One of the best resources you can use is an adjectives worksheet in PDF format. …
Read moreOsmosis In Cells Worksheet Answers
Are you struggling with finding osmosis in cells worksheet answers? Look no further! Osmosis is a key concept in biology, and understanding it is crucial for success in your studies. …
Read moreFree Traceable Alphabet Worksheets
If you’re looking for a fun and educational way to help your child learn the alphabet, free traceable alphabet worksheets are a great resource. These worksheets provide a hands-on approach …
Read moreOsmosis In Cells Worksheet Answer Key
Are you looking for the answer key to the osmosis in cells worksheet? Look no further! Understanding osmosis in cells is crucial for biology students, and having the correct answers …
Read moreAddition And Subtraction Pdf Worksheets
Are you looking for fun and engaging addition and subtraction PDF worksheets for your students or children? Look no further! Our collection of worksheets is designed to make learning math …
Read moreAdding Fractions Worksheets Pdf
Are you looking for a fun and educational way to help your child practice adding fractions? Look no further! Adding fractions worksheets in PDF format are a great resource for …
Read more