If you’ve been struggling with understanding function notation, you’re not alone. Many students find this concept challenging, but fear not! We have just the resource you need to help you master function notation in no time.
Introducing the function notation worksheet with answers PDF. This handy worksheet is designed to provide you with practice problems and detailed solutions to help you grasp the ins and outs of function notation.

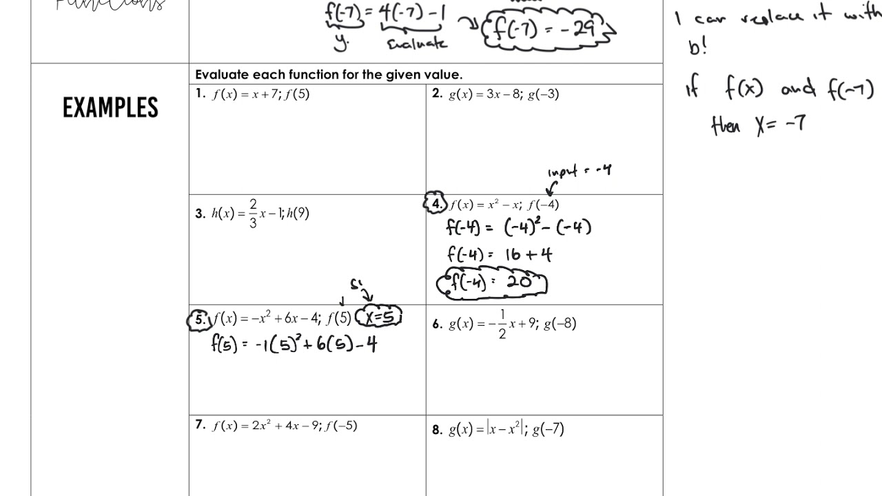
function notation worksheet with answers pdf
Function Notation Worksheet with Answers PDF
Whether you’re a visual learner or prefer to work through problems step by step, this worksheet has got you covered. With a variety of exercises ranging from basic to advanced, you’ll be able to test your understanding and sharpen your skills.
Each problem in the worksheet is accompanied by a clear explanation, so you can learn from your mistakes and improve with each question you tackle. This hands-on approach will help you build confidence and solidify your understanding of function notation.
Don’t let function notation intimidate you any longer. With the function notation worksheet with answers PDF, you’ll have everything you need to conquer this concept and excel in your math studies. Download your copy today and start mastering function notation like a pro!
So what are you waiting for? Dive into the world of function notation with confidence and take your math skills to the next level. With the help of the function notation worksheet with answers PDF, you’ll be a function notation whiz in no time. Happy solving!

Assignment 006U2 Functions And Function Notation Eric Porter Worksheets Library

L4 Evaluating Functions Detailed Answer Key For Students Studocu

Edia AI Platform For Student Outcomes

Function Notation Worksheets

Free Function Notation Worksheet With Answers Download Free Function Notation Worksheet With Answers Png Images Free Worksheets On Clipart Library