Are you looking for the answer key to the gas laws worksheet? Look no further! Understanding gas laws is crucial in the field of chemistry, and having access to the answer key can help you check your work and ensure you’re on the right track.
Gas laws describe the behavior of gases under different conditions of temperature, pressure, and volume. By solving problems on a gas laws worksheet, you can enhance your understanding of these principles and improve your problem-solving skills.

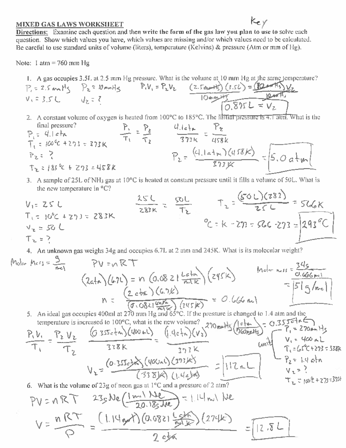
gas laws worksheet answer key
Gas Laws Worksheet Answer Key
When you have the answer key to a gas laws worksheet, you can easily verify your solutions and identify any mistakes you may have made. This can help you learn from your errors and improve your grasp of the concepts involved.
Using the answer key as a reference, you can also gain insights into the steps involved in solving gas laws problems. This can be particularly helpful when you encounter more challenging questions that require a deeper understanding of the material.
Moreover, having access to the answer key allows you to work independently and at your own pace. You can practice solving problems on your own and then use the answer key to check your answers, giving you immediate feedback on your progress.
In conclusion, the gas laws worksheet answer key is a valuable tool for students studying chemistry. By using it effectively, you can enhance your learning experience, build confidence in your abilities, and ultimately excel in your understanding of gas laws.

Gas Laws Worksheet Combined Ideal And Partial Pressure

Gas Laws Worksheet Chemistry Problems

SOLUTION Ideal Gas Law Worksheet 2 Answer Studypool Worksheets Library

Mixed Gas Laws Worksheet Key Detailed Problem Solutions Studocu

Gas Laws Worksheet Chemistry Practice Problems Equations