Multiplying Polynomials Worksheet Pdf

Polynomials can be a tricky topic for many students, but with the right resources, mastering them can be a breeze. One such resource is a multiplying polynomials worksheet PDF, which can provide practice problems and examples to help solidify your understanding.

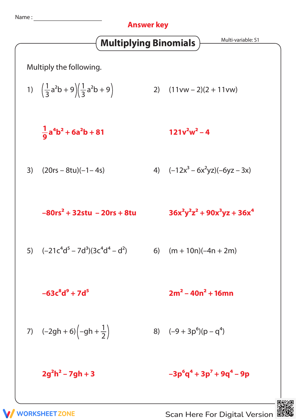
These worksheets typically contain a variety of problems that cover different scenarios when multiplying polynomials. From basic binomial multiplication to more complex problems involving trinomials, these worksheets can help you build confidence in your skills and improve your problem-solving abilities.

multiplying polynomials worksheet pdf

multiplying polynomials worksheet pdf

Mastering Multiplying Polynomials with a Worksheet PDF

By working through these worksheets, you can gain a deeper understanding of the concepts involved in multiplying polynomials. Practice makes perfect, and the more problems you solve, the more comfortable you’ll become with the process.

Additionally, these worksheets often come with answer keys, allowing you to check your work and identify any mistakes you may have made. This instant feedback can be invaluable in helping you learn from your errors and improve your performance.

Whether you’re a student looking to improve your math skills or a teacher searching for resources to support your lesson plans, a multiplying polynomials worksheet PDF can be a valuable tool. So why not give it a try and see how it can benefit your learning experience?

In conclusion, multiplying polynomials can be challenging, but with the right resources like a worksheet PDF, you can enhance your understanding and boost your confidence. So don’t hesitate to dive in and start practicing – you’ll be a polynomial pro in no time!

Multiplying Polynomials Notes And Worksheets Lindsay Bowden Worksheets Library

Multiplying Polynomials Notes And Worksheets Lindsay Bowden Worksheets Library

Multiplying Polynomials PDF Worksheets Library

Multiplying Polynomials PDF Worksheets Library

Multiplying Polynomials Worksheet Free Printable

Multiplying Polynomials Worksheet Free Printable

Printable Multiplying Polynomials Worksheets

Printable Multiplying Polynomials Worksheets

Multiplying And Simplifying Polynomials Worksheet 7th Grade PDF Worksheets Cazoom Math

Multiplying And Simplifying Polynomials Worksheet 7th Grade PDF Worksheets Cazoom Math

Leave a Reply

Your email address will not be published. Required fields are marked *