Are you looking for a fun and engaging way to help your students practice their comma usage? Look no further! Our comma worksheet PDF with answers is the perfect resource for teaching and reinforcing this important punctuation skill.
With our worksheet, students can work through a variety of exercises that will test their knowledge of where and how to use commas in a sentence. From separating items in a list to setting off introductory phrases, our worksheet covers it all in an easy-to-understand format.

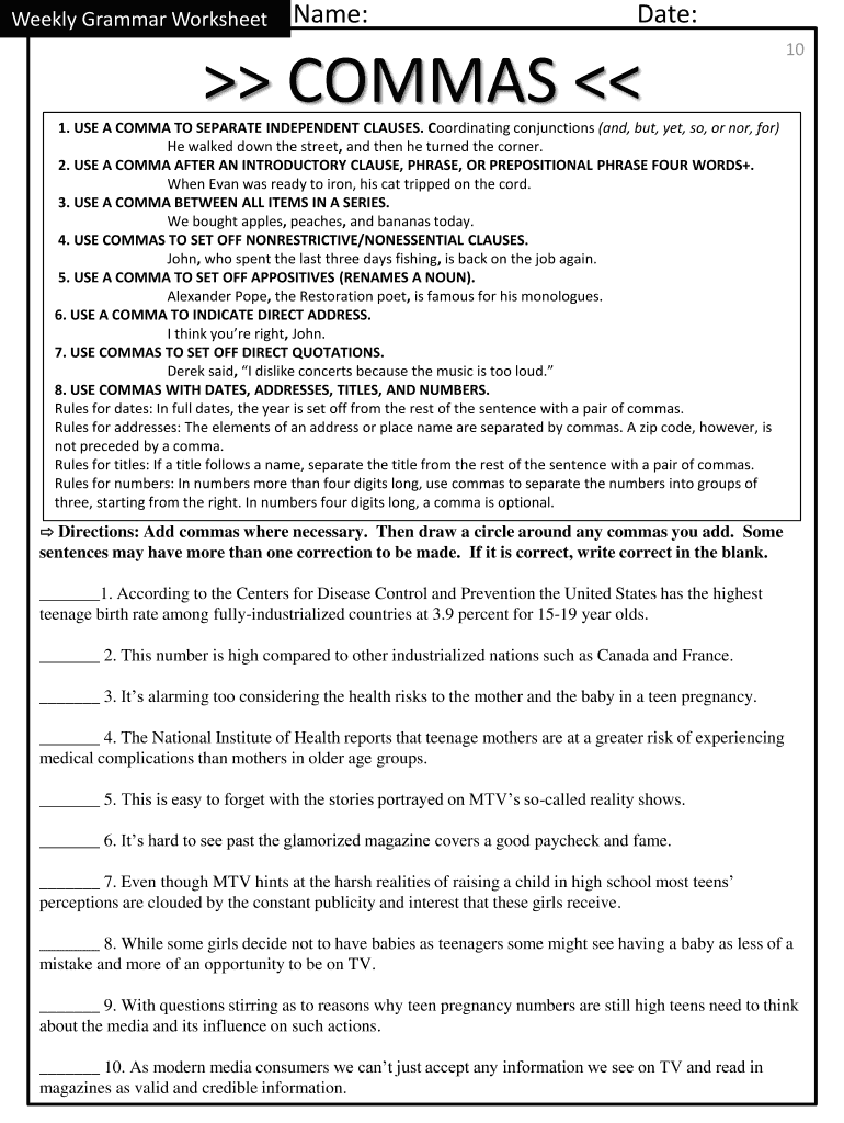
comma worksheet pdf with answers
Download Our Comma Worksheet PDF with Answers
Not only does our worksheet provide practice opportunities for students, but it also includes answer keys so they can check their work and learn from their mistakes. This instant feedback is invaluable in helping students improve their comma usage skills.
Whether you’re a teacher looking for a classroom resource or a parent wanting to support your child’s learning at home, our comma worksheet PDF with answers is a versatile tool that can be used in a variety of settings. Plus, it’s free to download and print, making it accessible to everyone!
So why wait? Download our comma worksheet PDF with answers today and start helping your students master the art of using commas correctly in their writing. With this handy resource, you’ll see improvements in their punctuation skills in no time!

Commas Answers PDF

Comma Learn How And When To Use Them

Commas Or Semicolons Worksheet 2 Answers Worksheets Library

Using Commas Interactive Worksheet Worksheets Library

Englishlinx Commas Worksheets