Are you a student struggling with math and looking for some extra practice? Look no further! We have a great resource for you – a distance formula worksheet PDF that you can easily download and work on at your own pace.
Math can be a challenging subject, but with the right tools and practice, you can improve your skills and boost your confidence. This worksheet is designed to help you understand and practice using the distance formula in a fun and engaging way.

distance formula worksheet pdf
Download Your Distance Formula Worksheet PDF
Whether you are studying for a test or just want to sharpen your math skills, this worksheet is a great way to practice calculating distances between points on a coordinate plane. Simply download the PDF, print it out, and start solving the problems.
The distance formula is an essential concept in geometry, and mastering it can help you solve a wide range of problems. With this worksheet, you can work on different types of problems and build your confidence in using the formula effectively.
Don’t let math intimidate you – practice makes perfect! By working on this worksheet, you can gain a better understanding of the distance formula and improve your problem-solving skills. So why wait? Download the PDF now and start mastering the distance formula today!
Improve your math skills and boost your confidence with our distance formula worksheet PDF. Download it now, work through the problems, and see how much progress you can make. Math doesn’t have to be scary – with the right practice, you can conquer any problem that comes your way.

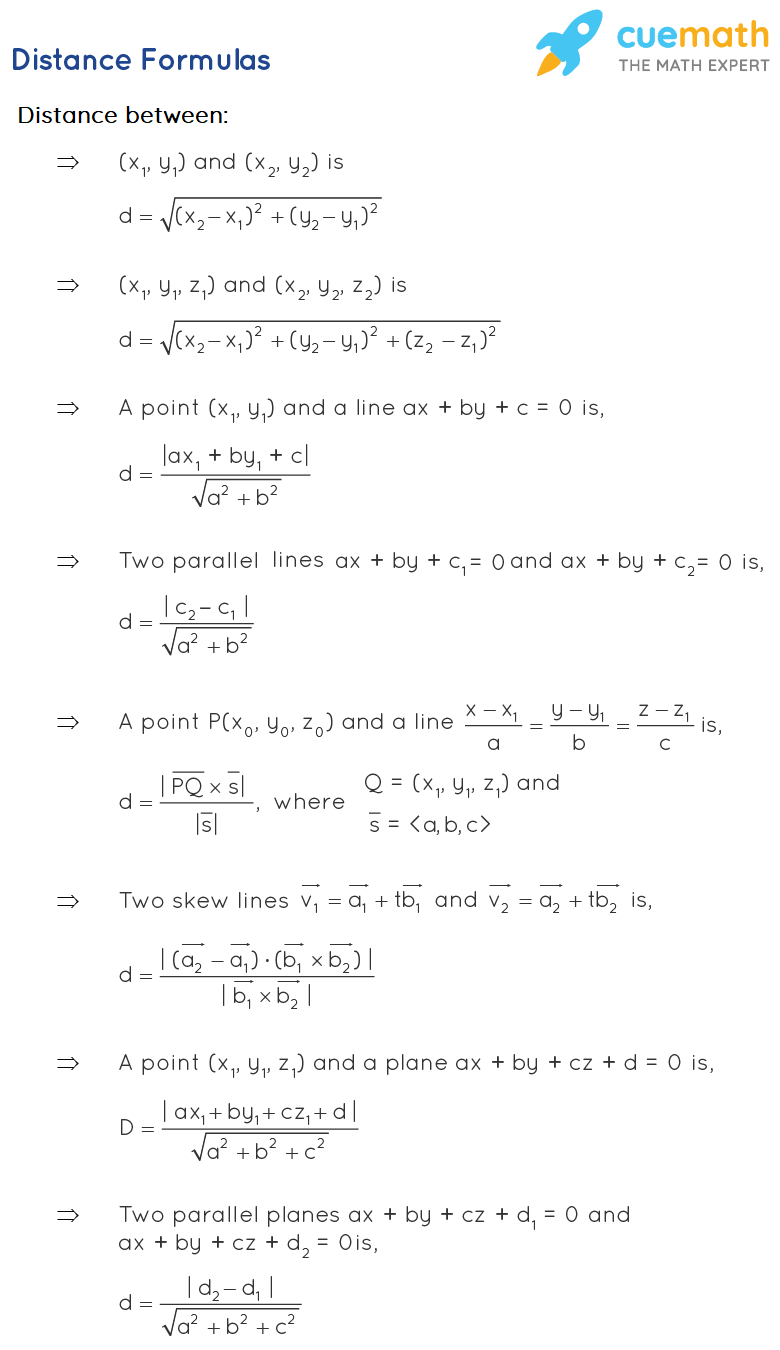
Distance Formula Derivation Examples All Distance Formulas In Maths

12 Coordinates Worksheets 5th Grade Free PDF At Worksheeto

Distance Between Two Points In 3 dimensions Worksheet Live Worksheets Library

Worksheet 1 8 Distance And Midpoint Use The Distance Formula Or

Distance Formula Worksheet Worksheets Library