Are you looking for a convenient way to practice solving distance formula problems? Look no further! Our distance formula worksheet with answers pdf is a great resource to help you sharpen your math skills and ace your upcoming exams.
Whether you’re a student studying for a math test or a teacher looking for extra practice materials for your students, our distance formula worksheet has got you covered. With step-by-step solutions provided, you can easily check your work and learn from any mistakes you make.

distance formula worksheet with answers pdf
Mastering Distance Formula with Answers PDF
Our distance formula worksheet covers a variety of problems that will challenge you to apply the distance formula in different scenarios. From basic problems to more complex ones, you’ll have plenty of opportunities to hone your problem-solving skills and gain confidence in your abilities.
By practicing with our worksheet, you’ll not only improve your understanding of the distance formula but also build your problem-solving skills and boost your confidence in math. With detailed explanations for each problem, you’ll be able to learn from your mistakes and make progress with each practice session.
So why wait? Download our distance formula worksheet with answers pdf today and start mastering the distance formula like a pro. Whether you’re a student looking to improve your grades or a teacher seeking additional resources for your students, our worksheet is the perfect tool to help you succeed in math.

Distance Midpoint Formulas Key Notes For Math Class J349 Studocu

Distance Formula And Examples ChiliMath

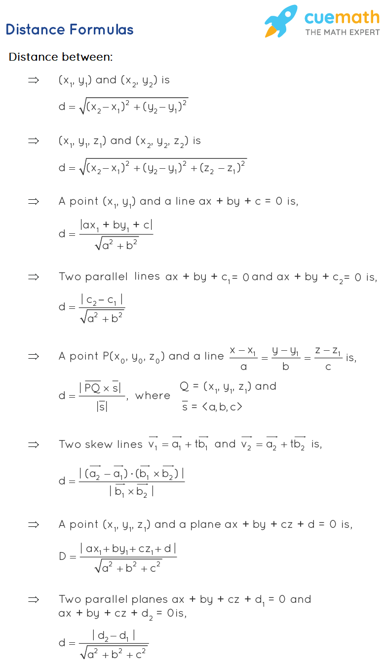
Distance Formula Derivation Examples All Distance Formulas In Maths

Distance Formula Worksheet Fill Out Sign Online DocHub

Worksheet 1 8 Distance And Midpoint Use The Distance Formula Or