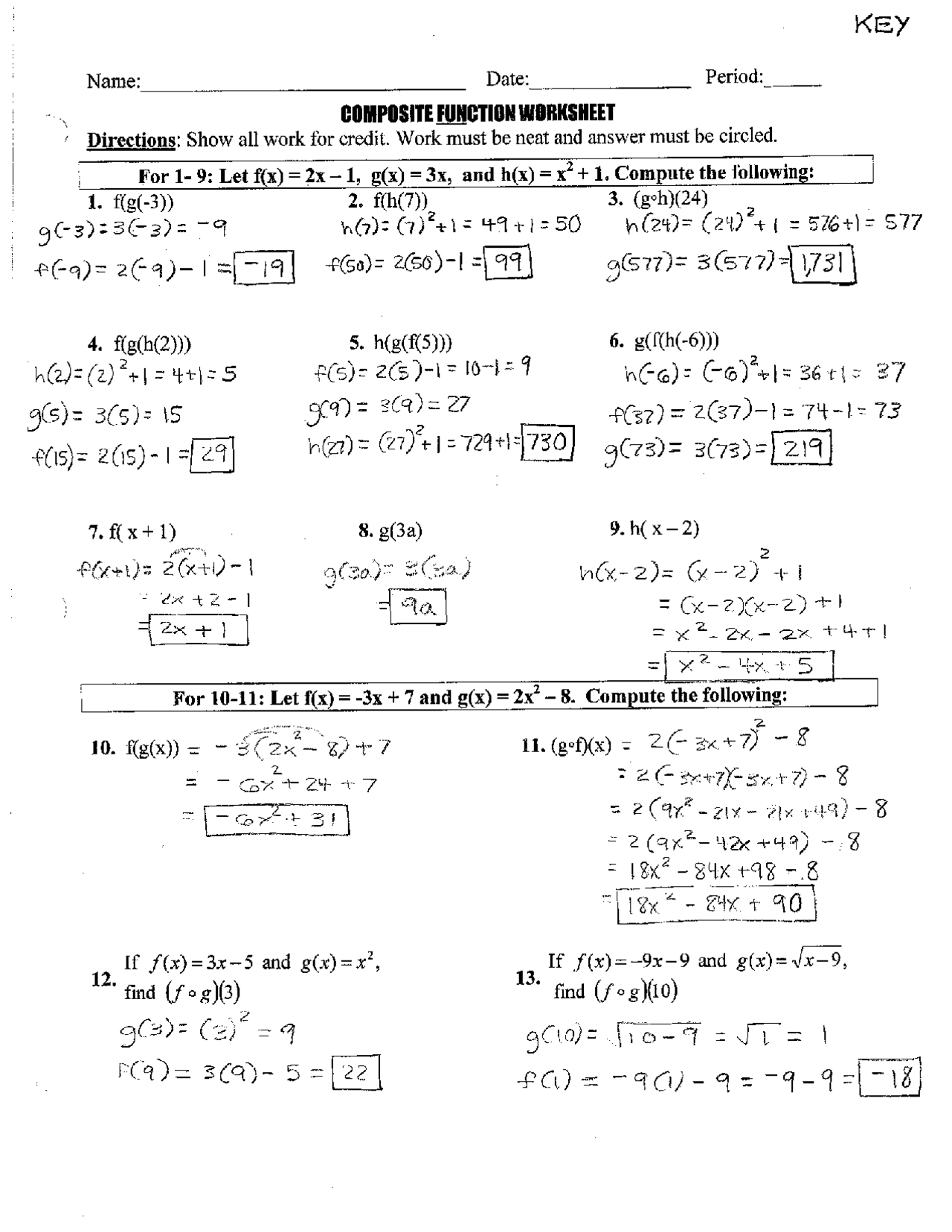
Are you looking for a functions worksheet with answers in PDF format? Look no further! We have compiled a comprehensive worksheet that covers various functions and their solutions to help you practice and improve your math skills.
Whether you are a student studying for a test or a teacher looking for additional resources for your classroom, this functions worksheet with answers PDF is a great tool to have on hand. It is user-friendly and easy to navigate, making it suitable for learners of all levels.

functions worksheet with answers pdf
Exploring Functions Worksheet with Answers PDF
Within the worksheet, you will find a variety of problems related to functions, such as identifying functions, evaluating functions, and finding the domain and range of functions. Each question is accompanied by a detailed solution to help you understand the concept better.
By practicing with this worksheet, you can enhance your problem-solving skills, build confidence in working with functions, and reinforce your understanding of key math concepts. It is a valuable resource that can be used independently or in a group setting to support your learning goals.
So, why wait? Download the functions worksheet with answers PDF today and start sharpening your math skills. Whether you are new to functions or looking to brush up on your knowledge, this worksheet is sure to be a helpful resource in your mathematical journey.
Take your math skills to the next level with our functions worksheet with answers PDF. Happy learning and happy problem-solving!

Math Worksheet Collection Evaluating Linear Functions Media4Math

Identify Functions Equations Worksheet Download

Inverse Functions B Worksheet Algebra II PDF Worksheets Cazoom Math

Input And Output Function Tables Worksheet

Composite Functions Worksheet With Answers Exercises Algebra Worksheets Library