Are you struggling with understanding gas laws in chemistry class? Don’t worry, we’ve got you covered! Gas laws can be tricky to grasp, but with the right resources, you’ll be acing your exams in no time.
One of the best tools to help you master gas laws is a worksheet with an answer key. This resource provides you with practice problems and detailed solutions to help you improve your understanding of this challenging topic.

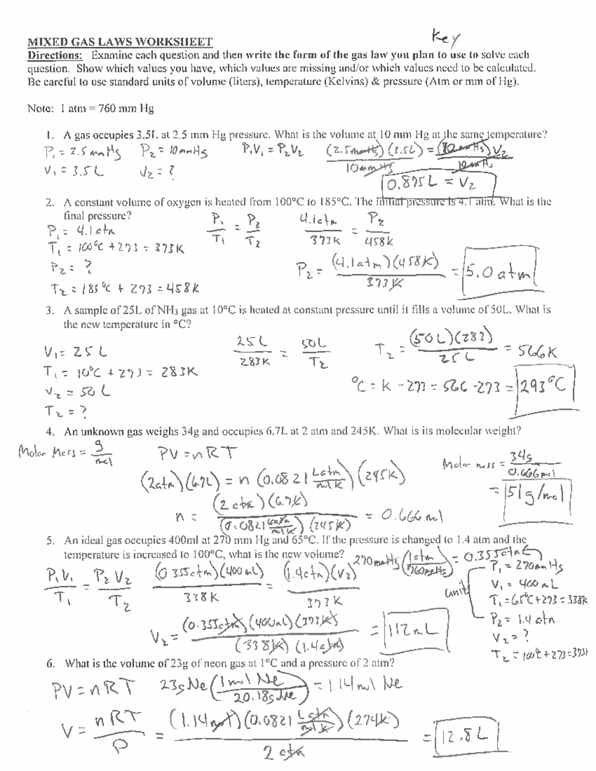
gas laws worksheet with answer key
Gas Laws Worksheet with Answer Key
By working through a gas laws worksheet with an answer key, you can test your knowledge and identify areas where you may need additional help. These worksheets typically cover topics such as Boyle’s Law, Charles’s Law, and the Ideal Gas Law.
Practice makes perfect, and by completing these worksheets, you’ll gain confidence in your ability to solve gas law problems. The answer key allows you to check your work and learn from any mistakes you may have made.
Additionally, working through a gas laws worksheet with an answer key can help you prepare for exams by familiarizing yourself with the types of questions you may encounter. This hands-on practice is invaluable in reinforcing your understanding of gas laws.
So, if you’re looking to improve your knowledge of gas laws and boost your grades in chemistry, be sure to utilize a gas laws worksheet with an answer key. With practice and perseverance, you’ll be a gas laws pro in no time!

Gas Laws Worksheet 1 Boyle s Charles Gay Lussac s Combined Studocu

Gas Laws Worksheet Combined Ideal And Partial Pressure

SOLUTION Ideal Gas Law Worksheet 2 Answer Studypool Worksheets Library

Printable Gas Law Worksheets

Mixed Gas Laws Worksheet Key Detailed Problem Solutions Studocu