If you’re looking for a fun and engaging way to teach your students about histograms, look no further! Histograms are a great tool for visualizing data and helping students understand concepts like frequency and distribution.
By incorporating a histogram worksheet PDF into your lesson plan, you can provide hands-on practice for students to create and interpret histograms. This interactive approach can make learning more enjoyable and help students retain information better.

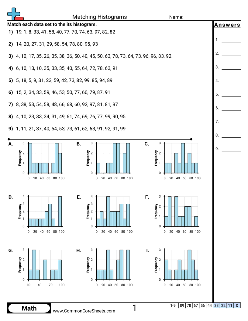
histogram worksheet pdf
Why Use a Histogram Worksheet PDF?
Using a histogram worksheet PDF allows students to practice creating histograms using real data sets. This hands-on experience helps reinforce the concepts taught in class and gives students a chance to apply their knowledge in a practical way.
Additionally, histogram worksheets can be tailored to different skill levels, making them suitable for students of all abilities. Whether you’re introducing histograms for the first time or reviewing concepts, a worksheet can provide valuable practice and reinforcement.
Furthermore, histogram worksheets can be easily shared and printed, making them a convenient resource for both teachers and students. With just a few clicks, you can distribute worksheets to your class and provide them with an engaging activity to enhance their learning experience.
In conclusion, using a histogram worksheet PDF can be a valuable tool for teaching and reinforcing concepts related to histograms. By incorporating hands-on practice into your lesson plan, you can help students develop a deeper understanding of data visualization and analysis.

Printable 7th Grade Histogram Worksheets

Histograms C Worksheet Algebra I PDF Worksheets Cazoom Math

Printable 7th Grade Histogram Worksheets

Matching Histograms Worksheet Download

Histograms B Worksheet Fun And Engaging Algebra I PDF Worksheets Cazoom Math