Are you looking for a molarity worksheet with answers in PDF format? Look no further! Understanding molarity can be tricky, but practice makes perfect. With our worksheet, you can test your knowledge and check your answers to see how you’re doing.
Whether you’re a student studying chemistry or a teacher looking for resources for your classroom, our molarity worksheet with answers PDF is a great tool to help you grasp this important concept. It covers everything from basic calculations to more complex problems, so you can feel confident in your understanding.

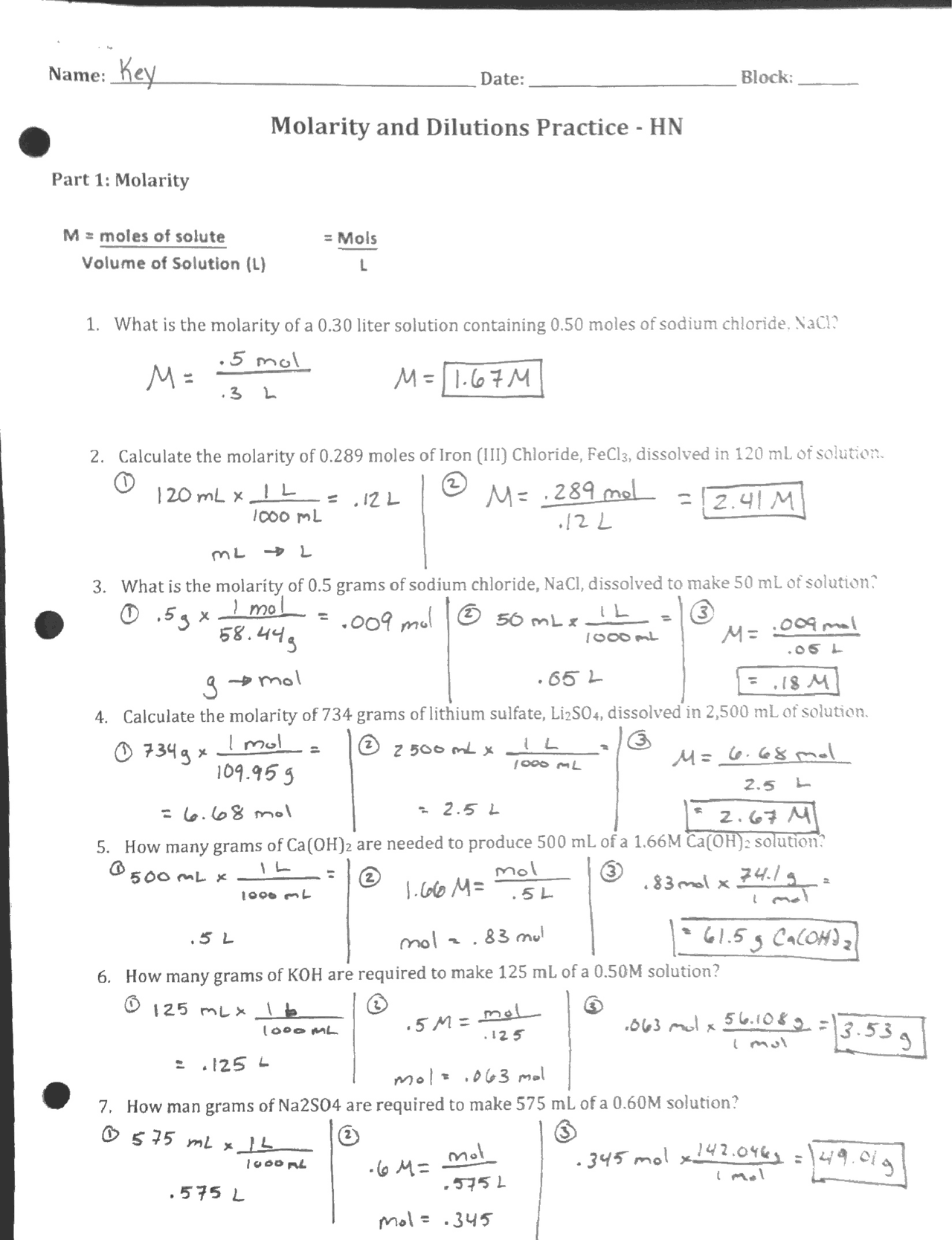
molarity worksheet with answers pdf
Get Your Molarity Worksheet with Answers PDF Here
With our worksheet, you can work through a variety of problems that will challenge your understanding of molarity. From calculating the molarity of a solution to determining the volume of a solute needed to reach a certain concentration, you’ll find a range of questions to test your skills.
Once you’ve completed the worksheet, you can check your answers in the accompanying PDF. This way, you can see where you went wrong and learn from your mistakes. It’s a great way to reinforce your knowledge and improve your confidence in working with molarity.
So, if you’re ready to take your molarity skills to the next level, download our molarity worksheet with answers PDF today. Whether you’re studying solo or teaching a class, this resource is sure to be a valuable addition to your learning arsenal.

Molarity Worksheet 1 Fill Out Sign Online DocHub

SOLUTION 4chap Molarity Problems Worksheet Studypool Worksheets Library

Molarity Molality

Molarity Practice Worksheet 1 3 Science Chemistry Solutions Worksheets Library

Molarity And Dilutions Practice Worksheet Key Exercises Chemistry Docsity