Are you looking for a fun and engaging way to practice multiplying polynomials? Look no further! Our free multiply polynomials worksheet PDF is the perfect resource to help you sharpen your math skills while having a great time.
With our worksheet, you can solve a variety of problems involving the multiplication of polynomials. From basic to more complex equations, this resource covers it all. You’ll be able to test your knowledge and improve your understanding of this important math concept.

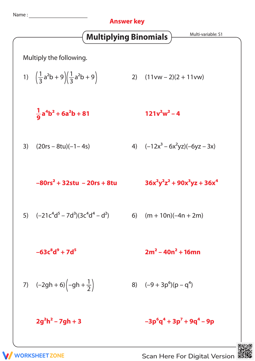
multiply polynomials worksheet pdf
Mastering Multiplying Polynomials with our Worksheet PDF
Whether you’re a student looking to ace your next math test or a teacher in search of additional practice materials for your students, our multiply polynomials worksheet PDF has got you covered. The step-by-step solutions provided will guide you through each problem, making learning easy and enjoyable.
By using our worksheet, you’ll not only enhance your multiplication skills but also build confidence in tackling similar problems in the future. Practice makes perfect, and with our engaging resource, you’ll be well on your way to mastering the art of multiplying polynomials.
So why wait? Download our multiply polynomials worksheet PDF today and start honing your math skills in a fun and interactive way. Whether you’re studying alone or with a group, this resource is sure to make learning math a breeze. Get ready to multiply your way to success!

Printable Multiplying Polynomials Worksheets

Multiplying Polynomials Worksheet Free Printable

Multiplying Polynomials PDF Worksheets Library

Printable Multiplying Polynomials Worksheets

Multiplying And Simplifying Polynomials Worksheet 7th Grade PDF Worksheets Cazoom Math