Multiplying Polynomials Worksheet With Answers Pdf

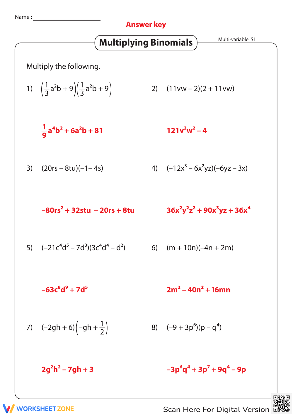
Polynomials can be a tricky concept to master, but with the right resources, you can nail it! One such helpful tool is a multiplying polynomials worksheet with answers in PDF format. These worksheets provide step-by-step solutions to help you understand and practice this essential algebra skill.

Whether you’re a student looking to improve your math skills or a teacher searching for additional resources for your classroom, a multiplying polynomials worksheet with answers PDF can be a game-changer. It allows you to practice multiplying polynomials at your own pace, with the added bonus of having solutions readily available for reference.

multiplying polynomials worksheet with answers pdf

multiplying polynomials worksheet with answers pdf

Multiplying Polynomials Worksheet with Answers PDF

These worksheets typically include a variety of problems involving both binomials and trinomials, giving you ample opportunity to hone your skills. From simple multiplication to more complex scenarios, these worksheets cover a range of scenarios to ensure you’re well-prepared for any polynomial multiplication question that comes your way.

By using a multiplying polynomials worksheet with answers in PDF format, you can track your progress, identify areas where you may need additional practice, and build confidence in your math abilities. Plus, having the answers at your fingertips allows for immediate feedback, helping you learn from your mistakes and improve with each problem.

So, whether you’re looking to ace your next algebra exam or simply want to brush up on your polynomial multiplication skills, consider incorporating a multiplying polynomials worksheet with answers PDF into your study routine. It’s a convenient and effective way to boost your math proficiency and tackle those tricky polynomial problems with ease!

Multiplying Polynomials Worksheets Printable With Answers Mashup Math

Multiplying Polynomials Worksheets Printable With Answers Mashup Math

Multiplying Polynomials Worksheet Free Printable

Multiplying Polynomials Worksheet Free Printable

Multiplying And Simplifying Polynomials Worksheet 7th Grade PDF Worksheets Cazoom Math

Multiplying And Simplifying Polynomials Worksheet 7th Grade PDF Worksheets Cazoom Math

Multiplying Polynomials PDF Worksheets Library

Multiplying Polynomials PDF Worksheets Library

Printable Multiplying Polynomials Worksheets

Printable Multiplying Polynomials Worksheets

Leave a Reply

Your email address will not be published. Required fields are marked *