Normal Distribution Worksheet With Answers Pdf

Are you struggling with understanding normal distribution in your math class? Don’t worry, we’ve got you covered! Normal distribution can be a tricky concept to grasp, but with the right resources, you’ll be acing those tests in no time.

One of the best tools to help you practice normal distribution is a worksheet with answers. And what’s even better? You can easily find these worksheets in PDF format online for free! No need to stress about where to find extra practice material anymore.

normal distribution worksheet with answers pdf

normal distribution worksheet with answers pdf

Get Your Hands on a Normal Distribution Worksheet with Answers PDF

By working through a normal distribution worksheet with answers, you’ll be able to test your understanding of the concept and see where you may need some extra help. These worksheets typically come with detailed solutions, so you can check your work and learn from your mistakes.

Practice makes perfect, and the more you work through these worksheets, the more confident you’ll become in your knowledge of normal distribution. So why not give it a try today and see the difference it can make in your math skills?

Don’t let normal distribution intimidate you any longer. With the help of a handy worksheet with answers in PDF format, you’ll be well on your way to mastering this important mathematical concept. So go ahead, download a worksheet, and start practicing today!

Week 7 Homework Z Scores And Normal Distribution Practice Studocu

Week 7 Homework Z Scores And Normal Distribution Practice Studocu

Normal Distribution Worksheet Pdf Fill Out Sign Online DocHub

Normal Distribution Worksheet Pdf Fill Out Sign Online DocHub

50 Normal Distribution Worksheets For 11th Class On Quizizz Worksheets Library

50 Normal Distribution Worksheets For 11th Class On Quizizz Worksheets Library

Free Normal Distribution Worksheet With Answers Download Free Normal Distribution Worksheet With Answers Png Images Free Worksheets On Clipart Library

Free Normal Distribution Worksheet With Answers Download Free Normal Distribution Worksheet With Answers Png Images Free Worksheets On Clipart Library

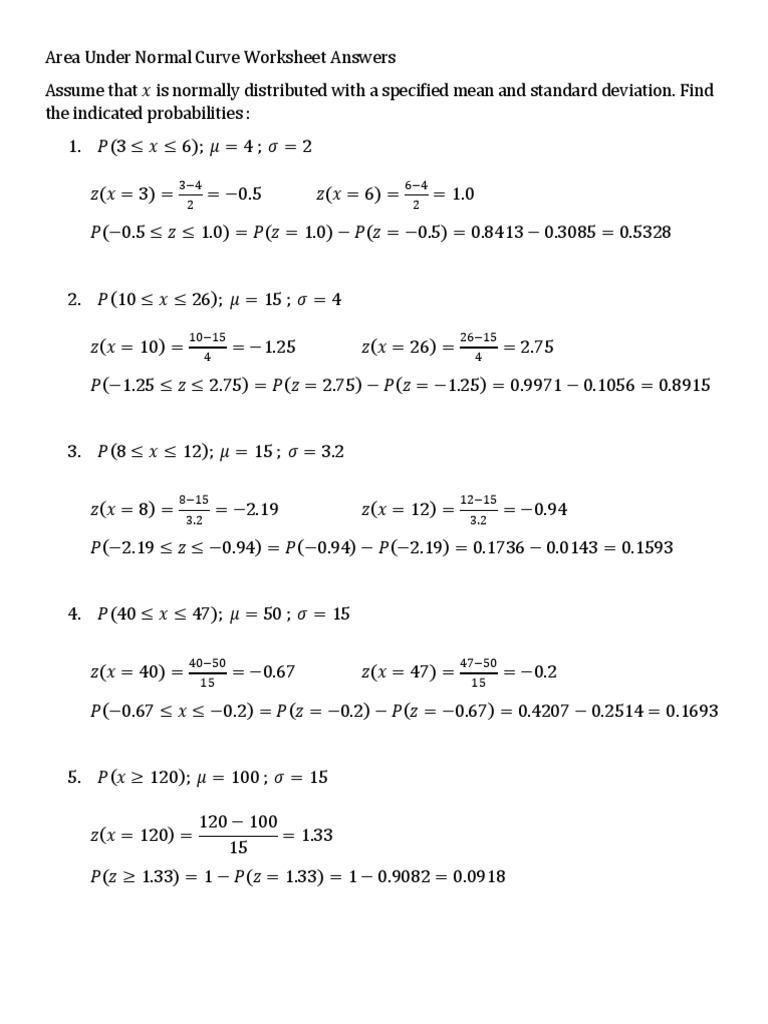
Area Under Normal Curve Worksheet Answers Download Free PDF Worksheets Library

Area Under Normal Curve Worksheet Answers Download Free PDF Worksheets Library

Leave a Reply

Your email address will not be published. Required fields are marked *