If you’re looking for a fun and interactive way to practice solving quadratic equations, you’ve come to the right place! Our quadratic formula activity worksheet answers will help you sharpen your math skills while having a great time.
Whether you’re a student trying to ace your next math test or a teacher looking for engaging classroom activities, our worksheet answers are perfect for you. Say goodbye to boring math problems and hello to hands-on learning!

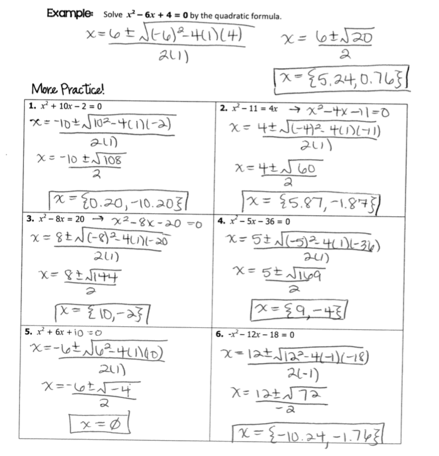
quadratic formula activity worksheet answers
Quadratic Formula Activity Worksheet Answers
Our worksheet answers include a variety of quadratic equation problems for you to solve. From basic to more complex equations, you’ll have plenty of opportunities to practice using the quadratic formula and strengthen your problem-solving skills.
Each answer comes with a detailed explanation, so you can learn from your mistakes and improve with each problem you solve. With our worksheet answers, you’ll feel more confident tackling quadratic equations in no time!
Don’t let quadratic equations intimidate you any longer. With our activity worksheet answers, you’ll not only master the quadratic formula but also enjoy the process of learning math. So grab a pencil, get ready to solve some equations, and watch your math skills soar!
Ready to take your math skills to the next level? Try out our quadratic formula activity worksheet answers today and see the difference hands-on learning can make. You’ll be solving quadratic equations like a pro in no time!

Grade 6 Math With Ms Eringis Answer Key Quadratic Formula Practice

Quadratic Formula Practice Problems With Answersx ChiliMath

Quadratic Formula Including Imaginary Solutions Clue Mystery Activity Made By Teachers

Quadratic Formula Examples Solved Step by Step Mashup Math

Mrs Newell s Math Quadratic Formula Activity