If you’re looking for a way to simplify radicals and want access to answers in an easy-to-use format, a simplifying radicals worksheet with answers PDF might be just what you need. These worksheets can help you practice and master this important math concept.
Radicals can be tricky to understand at first, but with some practice and guidance, you can become a pro at simplifying them. By using a worksheet with answers, you can check your work and make sure you’re on the right track.

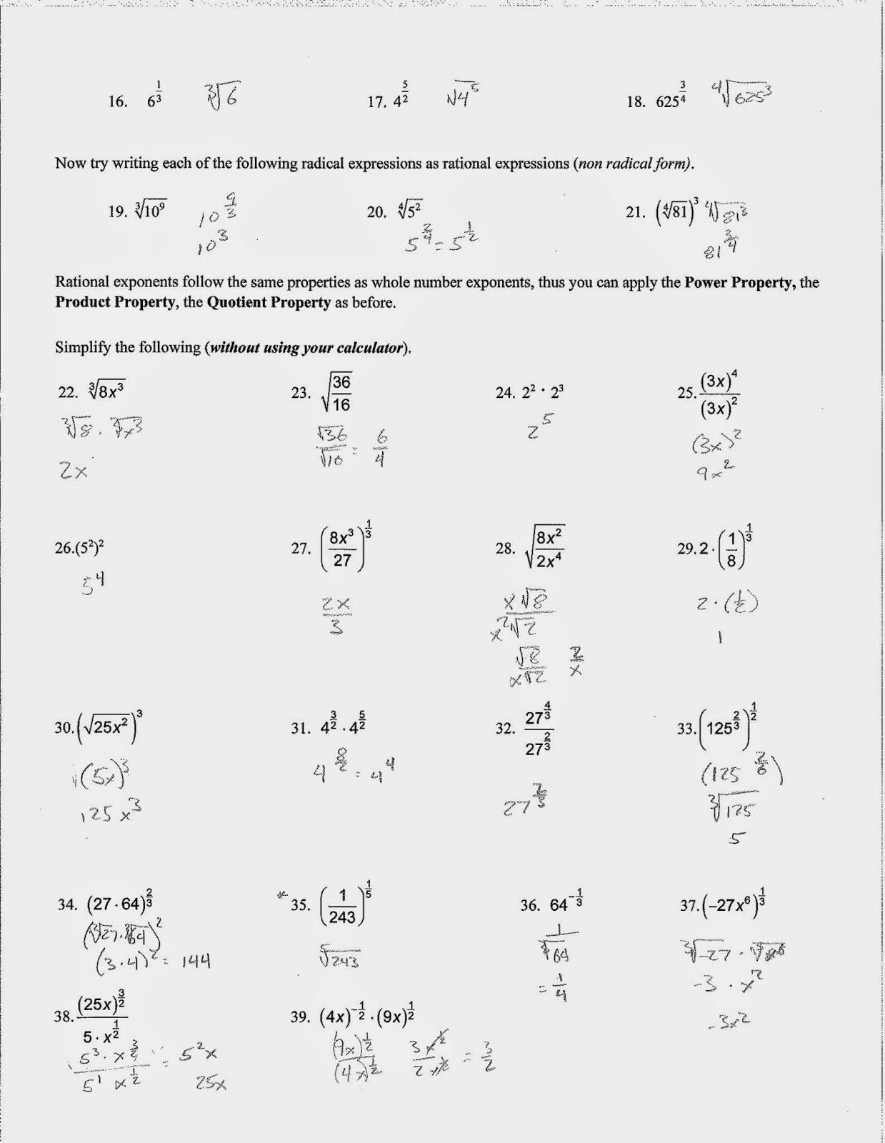
simplifying radicals worksheet with answers pdf
Simplifying Radicals Worksheet with Answers PDF
One of the best things about using a simplifying radicals worksheet with answers PDF is the convenience it offers. You can easily print out the worksheet or work on it digitally, making it accessible wherever and whenever you need it.
These worksheets typically include a variety of problems for you to solve, ranging from basic to more challenging. With the answers provided, you can check your work as you go along and identify any areas where you may need more practice.
Whether you’re a student looking to improve your math skills or a teacher searching for resources for your students, a simplifying radicals worksheet with answers PDF can be a valuable tool. It’s a great way to reinforce your understanding of radicals and boost your confidence in tackling math problems.
So, if you’re ready to take your skills in simplifying radicals to the next level, consider using a worksheet with answers to help you along the way. With practice and perseverance, you’ll be simplifying radicals like a pro in no time!

Simplifying Radicals Worksheet Download

Simplifying Radical Expressions Worksheets

GV Alg I worksheet Answers simplifying Radical expressions PDF Worksheets Library

Skill Simplifying Radicals pdf

Simplifying Radicals C Worksheet Fun And Engaging Algebra I PDF Worksheets Cazoom Math