If you’re looking for a specific heat worksheet with answers in PDF format, you’ve come to the right place. Understanding specific heat can be tricky, but practice makes perfect. Luckily, worksheets are a great way to test your knowledge and reinforce concepts.
By using a specific heat worksheet with answers, you can check your work and make sure you’re on the right track. These worksheets provide step-by-step solutions to help you understand where you might have gone wrong and how to correct it.

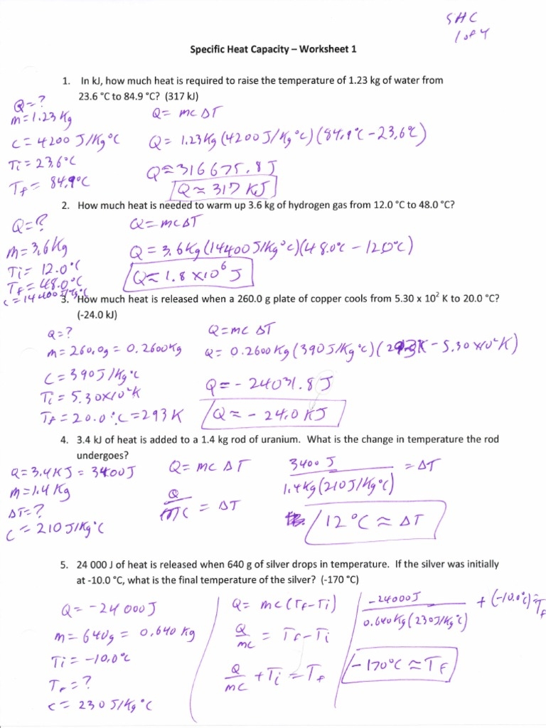
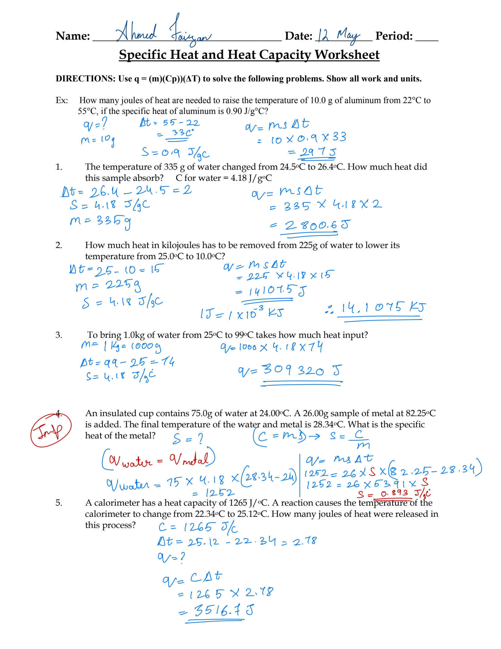
specific heat worksheet with answers pdf
Mastering Specific Heat: Worksheet with Answers PDF
With a specific heat worksheet in hand, you can tackle problems related to heat transfer, temperature changes, and more. These worksheets often include real-world examples to help you see the relevance of specific heat in everyday life.
Practice makes perfect, and working through a specific heat worksheet with answers can help you build confidence in your abilities. By checking your answers, you can identify areas where you need improvement and focus your efforts on mastering specific heat concepts.
Whether you’re a student studying for a test or someone looking to refresh their knowledge of specific heat, using a worksheet with answers can be a valuable tool. These resources provide a hands-on approach to learning that can make a complex topic more manageable.
So, if you’re ready to take your understanding of specific heat to the next level, download a worksheet with answers in PDF format today. With practice and perseverance, you’ll become a pro at calculating specific heat in no time!

Printable Grade 10 Specific Heat Worksheets Download

SOLUTION 6chap Heat Capacity Specific Heat Worksheet Studypool Worksheets Library

Specific Heat Calculations Worksheet Solution Key Exercises Chemistry Docsity

Specific Heat Worksheet Answers Key Calculations And Explanations Studocu

Printable Specific Heat Worksheets