If you’re looking for an easy way to simplify radical expressions, you’ve come to the right place! Simplifying radicals can be tricky, but with the right tools and practice, you’ll be a pro in no time.
One way to master simplifying radicals is by using a worksheet. Worksheets provide a structured way to practice and reinforce your skills. They often include step-by-step instructions and examples to guide you through the process.

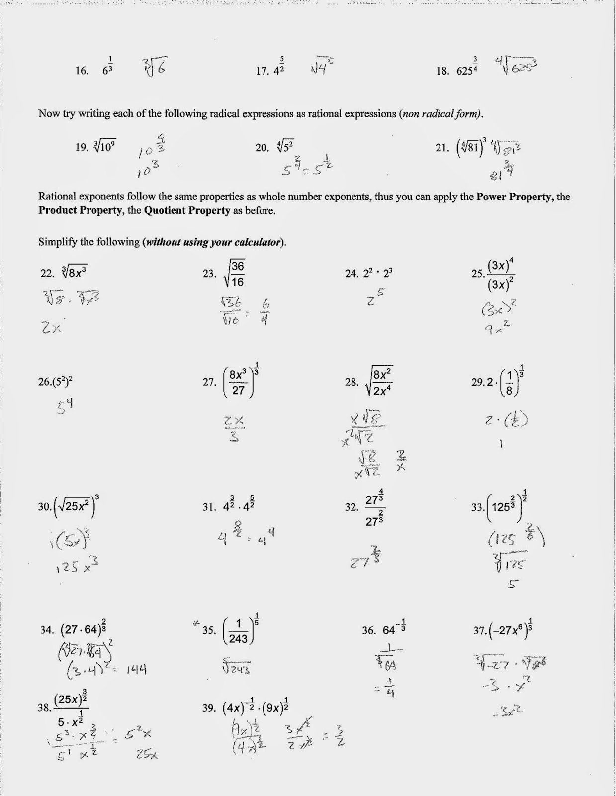
simplify the radicals worksheet answers
Simplify the Radicals Worksheet Answers
When working on a simplify the radicals worksheet, it’s important to check your answers. Make sure to double-check your work and compare your answers to the provided solutions. This will help you identify any mistakes and learn from them.
Remember, practice makes perfect! The more you work on simplifying radicals, the more comfortable and confident you’ll become. Don’t get discouraged if you make mistakes – they’re all part of the learning process.
Utilize online resources and tools to supplement your worksheet practice. There are plenty of websites and apps that offer additional practice problems and explanations to help you improve your skills. Take advantage of these resources to enhance your understanding of simplifying radicals.
In conclusion, simplifying radicals may seem daunting at first, but with dedication and practice, you’ll get the hang of it. Use worksheets, check your answers, and keep practicing to sharpen your skills. Before you know it, you’ll be simplifying radicals like a pro!

How To Simplify Radicals In 3 Easy Steps Mashup Math

SOLUTION Simplifying Radical Expressions Worksheet Studypool Worksheets Library

Simplifying Radicals A Worksheet PDF Printable Algebra Worksheet Cazoom Math

50 Simplifying Radical Expressions Worksheet Answers Chessmuseum Worksheets Library

Simplifying Radicals C Worksheet Fun And Engaging Algebra I PDF Worksheets Cazoom Math