Are you looking for simplifying radical worksheet answers? Understanding radicals can be tricky, but with the right resources, you can master them in no time. Whether you’re a student or a teacher, having access to clear and concise answers can make a world of difference.
Radicals involve square roots, cube roots, and other root operations that can sometimes be confusing. By practicing with a simplifying radical worksheet, you can gain confidence in your abilities and improve your problem-solving skills. With the correct answers at your fingertips, you can check your work and learn from your mistakes.

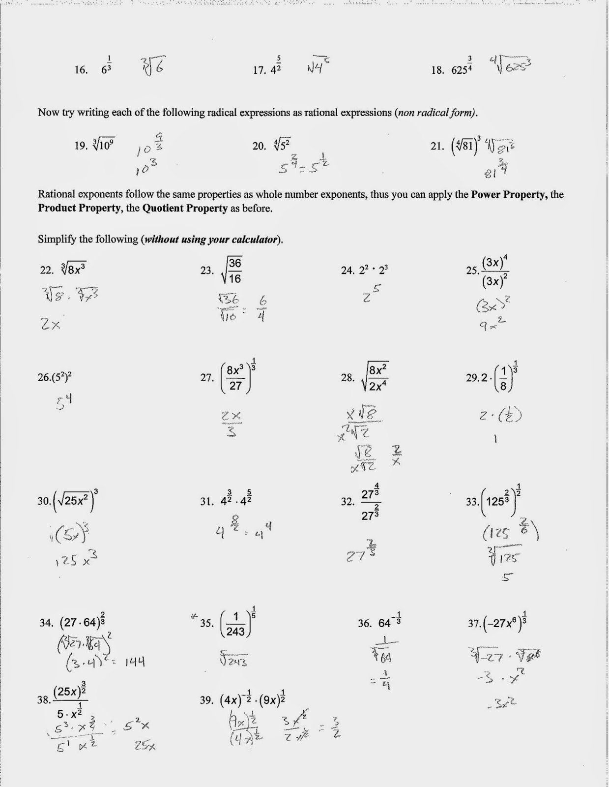
simplifying radical worksheet answers
Simplifying Radical Worksheet Answers: Your Key to Success
When working through a simplifying radical worksheet, having access to answers can help you progress faster. By comparing your solutions to the correct answers, you can identify areas where you may need additional practice. This feedback loop is essential for mastering radicals and becoming more proficient in math.
Furthermore, simplifying radical worksheet answers can provide guidance on specific problem types or patterns. By studying the correct solutions, you can learn new strategies and techniques for simplifying radicals more efficiently. This iterative process of practice and feedback is crucial for building a strong foundation in math.
In conclusion, simplifying radical worksheet answers are invaluable tools for anyone learning about radicals. By using these resources, you can enhance your understanding, boost your confidence, and improve your problem-solving skills. So, whether you’re a student tackling radicals for the first time or a teacher looking to support your students, access to clear and accurate answers can make all the difference.

SOLUTION Simplifying Radical Expressions Worksheet Studypool Worksheets Library

Free Simplifying Radicals Worksheet 1 Answers Download Free Simplifying Radicals Worksheet 1 Answers Png Images Free Worksheets On Clipart Library

Simplifying Radicals A Worksheet PDF Printable Algebra Worksheet Cazoom Math

50 Simplifying Radical Expressions Worksheet Answers Chessmuseum Worksheets Library

Simplifying Radicals C Worksheet Fun And Engaging Algebra I PDF Worksheets Cazoom Math